Пігмент жовтий 97
Pigment Yellow 97 is a bright, durable yellow pigment commonly used in coatings, inks, plastics, and paints. Known for its excellent lightfastness, weather resistance, and non-toxic properties, it offers vibrant color with high opacity. This pigment provides superior color strength and is often chosen for applications requiring consistent, high-quality yellow hues. It’s widely used in industrial sectors such as automotive, textiles, and packaging, offering a reliable and long-lasting color solution. Pigment Yellow 97 is valued for its versatility, environmental safety, and ability to maintain color integrity even under harsh conditions.
| Синоніми | CIPigment Yellow 97; CIPY97; PY97; PY97 |
| Номер CI | 11767 |
| Номер CAS | 12225-18-2 |
| Номер ЄС | 235-427-3 |
| Молекулярна формула | C26H27CINN4O8S |
| Хімічна сім'я | Моно азо |
| Колір | ![]() |
| Розподіл відтінків |
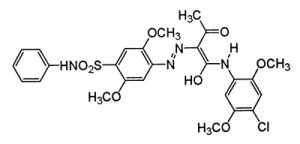
Молекулярна структура:

Пігмент жовтий 97 Фізичні, хімічні властивості та стійкість
| Молекулярна вага | 591.08 |
| Значення PH | 7.5 |
| Щільність | 1.5 |
| Поглинання масла (мл / 100 г)% | 45 |
| Світлова швидкість | 7 |
| Теплостійкість | 200 (°C) |
| Водотривкість | 5 |
| Олійна стійкість | 4 |
| Кислородна стійкість | 5 |
| Лугостійкість | 5 |
Застосування
Пігмент жовтий 97 знаходить застосування в різних галузях промисловості завдяки своєму яскравому жовтому кольору. Деякі поширені програми включають:
Фарби та покриття: пігмент жовтий 97 використовується у рецептурі фарб та покриттів для декоративних і захисних цілей. Його можна додати до фарб на водній основі або на основі розчинників для надання жовтого відтінку.
Друкарські фарби: пігмент використовується у виробництві жовтих друкарських фарб для таких застосувань, як пакування, публікації та інші друковані матеріали.
Пластмаси: пігмент жовтий 97 часто використовується для фарбування пластмас, включаючи ПВХ (полівінілхлорид), поліолефіни та інші полімерні матеріали. Він надає виробам із пластику стійкий і стійкий жовтий колір.
Текстиль: у текстильній промисловості цей пігмент можна використовувати для фарбування тканин, забезпечуючи жовтий колір текстилю та одягу.
Чорнила для струменевих принтерів: Пігмент жовтий 97 можна використовувати у складі чорнил для струменевих принтерів для друку зображень і тексту на різних підкладках.
Кольори для художників: художники та виробники товарів для мистецтва можуть використовувати пігмент жовтий 97 у виробництві олійних фарб, акрилу, акварелі та інших художніх засобів.
Інші сфери застосування: пігмент також можна використовувати в інших цілях, де потрібний стабільний і яскравий жовтий колір, наприклад, для фарбування косметики, гумових виробів і спеціальних покриттів.
Супутня інформація
Pigment Yellow 97 is a hydroxyl-containing polycarboxylic acid that is used in the production of paints and plastics. It has an oxidation potential of +0.6 volts, which indicates that it is reactive. Pigment Yellow 97 has an absorption maximum at 526 nm and a molecular weight of 317.09 g/mol. The chemical structure of Pigment Yellow 97 consists of a molecule with a reactive carboxyl group and a reactive hydroxyl group, as well as an intramolecular hydrogen bond between the two groups. This pigment also forms coordination complexes with metals such as iron oxides to form particle pigments or mixtures with glycol esters to form solid particles or dispersions, respectively.
Імена та ідентифікатори
Назва IUPAC: N-(4-хлор-2,5-диметоксифеніл)-2-[[2,5-диметокси-4-(фенілсульфамоїл)феніл]діазеніл]-3-оксобутанамід
InChI=1S/C26H27ClN4O8S/c1-15(32)25(26(33)28-18-12-20(36-2)17(27)11-21(18)37-3)30-29-19- 13-23(39-5)24(14-22(19)38-4)40(34,35)31-16-9-7-6-8-10-16/h6-14,25,31H, 1-5H3,(H,28,33)
Вхідний ключ: WNWZKKBGFYKSGA-UHFFFAOYSA-N
Канонічні SMILES: CC(=O)C(C(=O)NC1=CC(=C(C=C1OC)Cl)OC)N=NC2=CC(=C(C=C2OC)S(=O)(= O)NC3=CC=CC=C3)OC
Обчислені властивості
| Назва власності | Вартість власності |
| Молекулярна вага | 591.0 g/mol |
| XLogP3-AA | 4.6 |
| Кількість донорів водневих зв'язків | 2 |
| Кількість акцепторів водневих зв'язків | 11 |
| Обертовий підрахунок облігацій | 12 |
| Точна маса | 590.1238127 Da |
| Моноізотопна маса | 590.1238127 Da |
| Топологічна полярна площа поверхні | 162 Ų |
| Підрахунок важких атомів | 40 |
| Офіційне звинувачення | 0 |
| Складність | 974 |
| Підрахунок атомів ізотопів | 0 |
| Визначена кількість стереоцентрів атомів | 0 |
| Невизначена кількість стереоцентрів атомів | 1 |
| Визначена кількість стереоцентрів зв'язку | 0 |
| Невизначена кількість стереоцентрів Bond | 0 |
| Кількість одиниць ковалентного зв'язку | 1 |
| З'єднання канонізовано | Так |











